其它活动
There is no translation available.

OPERASI DAN PERKHIDMATAN JABATAN KASTAM DIRAJA MALAYSIA (JKDM) DALAM TEMPOH LANJUTAN PELAKSANAAN PERINTAH KAWALAN PERGERAKAN (PKP)
其它活动
There is no translation available.

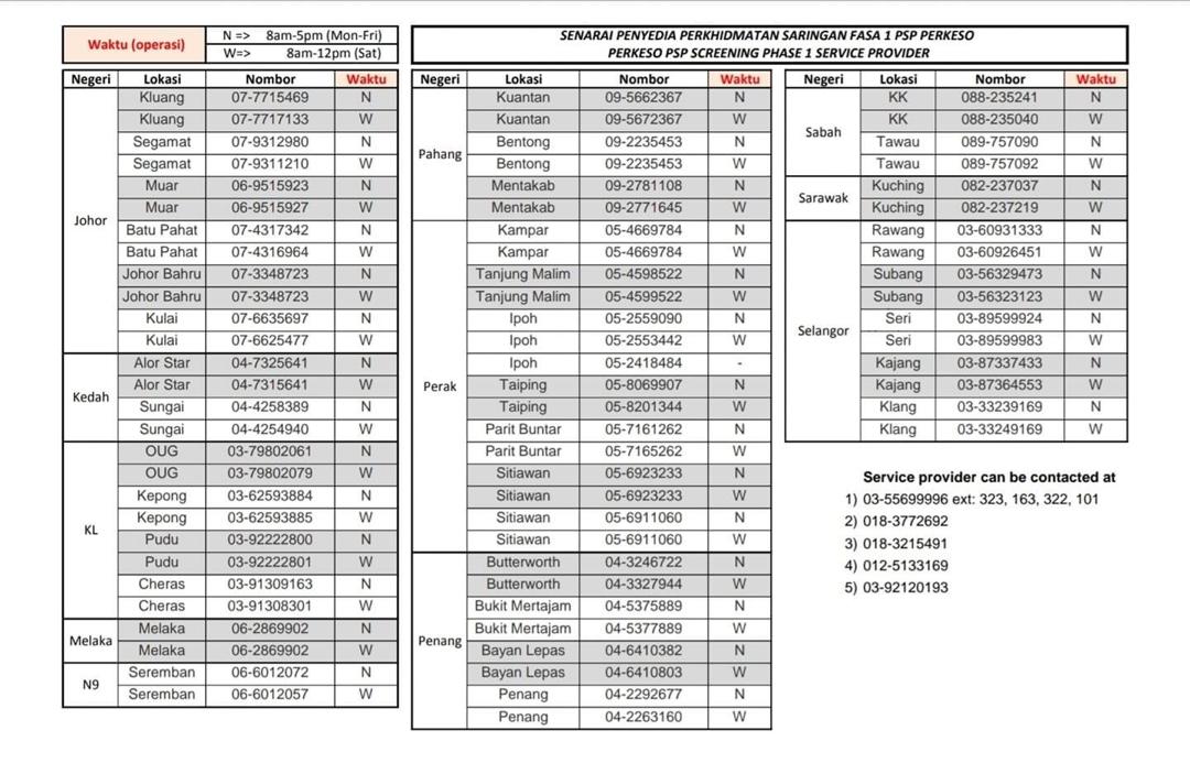
[Perkeso PSP] Screening Phase 1 Service Provider List According To State
其它活动
There is no translation available.

SME STATUS REGISTRATION SYSTEM